vitamiN’ co is an important ingredient in making plant-based diets healthier and more complete.
-------------------------------------
vitamiN' co ist eine wichtige Zutat, um pflanzenbasierte Ernährung gesünder und vollwertiger zu machen.
Dr. Andreas Schenzle - lives on a 100% plant-based dietVitamin B12 for a healthy life.
Only certain bacteria can produce vitamin B12! — Nur bestimmte Bakterien produzieren Vitamin B12!
An exclusive bacterial product
Animals, including humans, require vitamin B12 for their metabolism; plants do not. Neither animals nor plants or fungi can produce the vitamin; only special bacteria can. Animals get their B12 in one of two ways: from bacteria living in their digestive system (like in ruminants, for instance), or via their food chain (like omnivores, for instance). Although humans‘ large intestine is colonized by B12-producing bacteria, humans are not able to absorb the vitamin there; in humans, active B12 absorption happens in the small intestine alone.
How much B12 does the human body need?
A maximum of 2 µg of B12 can be actively absorbed by the human ileum per meal, and 2 µg is also the approximate daily required amount to maintain one’s B12 at a healthy level in the long run. Since a
B12 deficiency can lead to serious health problems – especially, megaloblastic anemia and neurological dysfunction – EU legislation recommends a daily dose of 2.5 µg of the vitamin for adults.
Go see your doctor if you suspect B12 deficiency
If you suspect you have a B12 deficiency, even though you are eating a balanced diet with vitamin B12, your active uptake system may be dysfunctional. In this case, PANVEGA recommends that you consult your family doctor.
Ein ausschliesslich bakterielles Produkt
Tiere einschliesslich der Menschen, benötigen Vitamin B12 für ihren Stoffwechsel, Pflanzen dagegen nicht. Weder Tiere, Pflanzen oder Pilze können das Vitamin produzieren; nur spezielle Bakterien können das. Tiere bekommen ihr B12 auf eine von zwei Arten auf: von Bakterien, die in ihrem Verdauungssystem leben (wie z.B. bei Wiederkäuern), oder über die Nahrungskette (wie z.B. bei Allesfressern). Obwohl der Dickdarm des Menschen von B12-produzierenden Bakterien besiedelt ist, kann der Mensch das Vitamin dort nicht aufnehmen; die aktive B12-Resorption erfolgt beim Menschen ausschliesslich im Dünndarm.
Wieviel B12 benötigt der menschliche Körper?
Maximal 2 µg B12 kann das menschliche Ileum pro Mahlzeit aktiv aufnehmen, und 2 µg sind auch der ungefähre tägliche Bedarf, um den B12-Spiegel langfristig auf einem gesunden Niveau zu halten. Da ein
B12-Mangel zu schwerwiegenden gesundheitlichen Problemen führen kann - insbesondere zu megaloblastischer Anämie und neurologischen Funktionsstörungen - empfiehlt die EU-Gesetzgebung eine tägliche Dosis von 2,5 µg des Vitamins für Erwachsene.
Konsultieren sie einen Arzt, wenn sie B12-Mangel vermuten
Wenn sie bei sich einen B12-Mangel vermuten, obwohl sie auf eine ausgewogene Ernährung mit Vitamin B12 achten, könnte ihr aktives Aufnahmesystem gestört sein. Hier empfehlt ihnen die PANVEGA, ihren Hausarzt aufzusuchen.
As natural as cider or sour dough ! So natürlich wie Most oder Sauerteig ! vitamiN' co
The substance vitamin B12 — Der Stoff Vitamin B12
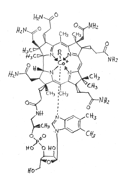
The most complex vitamin — Das komplexeste Vitamin
Vitamin B12, also known as cobalamin, is the vitamin with the most complex structure. More than 30 bacterial genes are involved in its biosynthesis. Chemists required about 70 steps for its synthesis in the lab.
Vitamin B12, auch als Cobalamin bekannt, ist das Vitamin mit der komplexesten Struktur. Mehr als 30 bakterielle Gene sind an seiner Biosynthese beteiligt. Chemiker benötigten etwa 70 Synthesseschritte, um es künstlich herzustellen.
Plant-based diet and B12 — Pflanzenbasierte Ernährung und B12
Our diet influences our B12 status — Unsere Ernährung beeinflusst unseren B12-Status
The less animal the less B12
Animal-based food is traditionally the major natural source of B12 for humans; more and more people, however, are reducing their consumption of animal-based products for health, ethical, and/or ecological reasons. Because of humans‘ special absorption system and the lack of the vitamin in plant-based food, this reduced consumption of animal-based products is putting more and more people (not just vegans, but also vegetarians, and even flexitarians) at risk of developing a B12 deficiency.
Conventional B12 not allowed in organic food
There are two problems that face many vegans, vegetarians, and flexitarians who wish to consume the recommended daily dose of B12:
- The majority of consumers prefer natural vitamin sources to supplements, so the idea of taking a B12 pill, for example, is not very appealing to them.
- Conventional B12 is not allowed in organic-certified food products, because its production includes the use of harmful chemicals, and the use of genetically modified bacteria, which is not in compliance with organic-food legislation. This makes conventional B12 unappealing to consumers who wish to eat "organic", even if no adverse health effects are to be expected from its consumption.
Weniger Tier heisst weniger B12
Fleisch- und Molkereiprodukte sind traditionell die wichtigsten natürlichen Quellen von B12 für den Menschen; immer mehr Menschen reduzieren jedoch ihren Konsum von Produkten, die vom Tier stammen, aus gesundheitlichen, ethischen und/oder ökologischen Gründen. Aufgrund des speziellen Resorptionssystems des Menschen und des Fehlens des Vitamins in pflanzlichen Lebensmitteln setzt dieser reduzierte Konsum von tierischen Produkten immer mehr Menschen (nicht nur Veganer*innen, sondern auch Vegetarier*innen und sogar Flexitarier*innen) dem Risiko aus, einen B12-Mangel zu entwickeln.
Konventionelles B12 nicht in BIO-Lebensmitteln erlaubt
Es gibt zwei Probleme, mit denen viele Veganer*innen, Vegetarier*innen und Flexitarier*innen konfrontiert sind, die die empfohlene Tagesdosis an B12 zu sich nehmen möchten:
- Die Mehrheit der Verbraucher*innen zieht natürliche Vitaminquellen entsprechenden Nahrungsergänzungsmittel vor, daher ist die Idee, z.B. eine B12-Pille einzunehmen, für sie nicht besonders attraktiv.
- Konventionelles B12 ist in BIO-zertifizierten Lebensmitteln nicht erlaubt, da bei der Herstellung gesundheitsschädliche Chemikalien und gentechnisch veränderte Bakterien verwendet werden, was nicht mit der Bio-Lebensmittelgesetzgebung vereinbar ist. Das macht konventionelles B12 für Konsument*innen, die sich "BIO" ernähren wollen, unattraktiv, auch wenn durch dessen Konsum keine nachteiligen Gesundheitseffekte zu erwarten sind.
PANVEGA's solution — PANVEGAs Lösung
vitamiN’ co as a natural source of B12 — vitamiN’ co als naturbelassene Quelle für B12
vitamiN’ co for vegan-organic diet
For the above mentioned reasons, PANVEGA has developed a unique B12 that is allowed in both organic- and vegan-certified food products, and we market it under the brand vitamiN’ co.
Natural B12 by GMO-free fermentation
The development of vitamiN’ co took two years and is based on an elaborate fermentation process with yeast extract as substrate and B12-producing bacteria as starter culture. vitamiN’ co is produced without GMOs and is free of animal products and known allergens. vitamiN’ co is as natural as sauerkraut or vinegar and makes it possible for a plant-based diet to be healthy, complete, and without a need for conventional B12 supplements.
First B12 in the world for organic food
We are proud to be able to say that it is the first B12 in the world to be allowed in organic-certified food products. With vitamiN’ co, PANVEGA has the first-mover advantage to conquer the global market for vegan-organic B12, which has a very high market potential.
vitamiN’ co für eine biovegane Ernährung
Aus den oben genannten Gründen hat PANVEGA ein einzigartiges B12 entwickelt, das sowohl in bio- als auch in vegan-zertifizierten Lebensmitteln erlaubt ist, und wir vermarkten es unter der Marke
vitamiN' co.
Naturbelassenes B12 durch Fermentation ohne GVO
Die Entwicklung von vitamiN' co hat zwei Jahre gedauert und basiert auf einen aufwendigen Fermentationsprozess mit Hefeextrakt als Substrat und B12-produzierenden Bakterien als Starterkultur. vitamiN' co wird ohne GVO hergestellt und ist frei von Tierprodukten und bekannten Allergenen. vitamiN' co ist so natürlich wie Sauerkraut oder Essig und ermöglicht eine gesunde, vollwertige Ernährung auf pflanzlicher Basis ohne zusätzliche B12-Nahrungsergänzungsmittel.
Weltweit erstes B12 für BIO-Lebensmittel
Wir sind stolz darauf, sagen zu können, dass es das erste B12 der Welt ist, das in biozertifizierten Lebensmitteln erlaubt ist. Mit vitamiN' co hat PANVEGA den Vorreiter-Vorteil, um den globalen Markt für bioveganes B12 zu erobern, der ein sehr grosses Wachstumspotential hat.
We are delighted that more and more vegan-organic food products from Naturkraftwerke containing vitamiN' co® are becoming available!
The PANVEGA teamSpecific information on vitamiN’ co — Spezifische Informationen zu vitamiN’ co
Useful information for food manufacturers — Nützliche Informationen für Lebensmittelhersteller
- Suggested designation for the ingredient list: Fermented Yeast Extract, inactivated
- The bacteria: The bacteria we use for the fermentation of the yeast extract have been routinely employed in food production for a very long time. They are classified as safe for use in food by the EFSA (QPS = “qualified presumption of safety” status). The strain we employ is not genetically modified (non-GMO).
- Production: The elaborate fermentation of the yeast extract with bacteria is free of animal products and and known allergens and takes place under the conditions necessary for optimal vitamin B12 bioproduction. The resulting fermentation broth is then washed, concentrated, heat-inactivated and dried.
- Concentration: As B12 concentrations in the fermentation broth can vary, we offer standard powders using organic maltodextrin as a carrier with either 2.5 µg or 100 µg of B12 per gram of powder. Alternative carriers or concentrations can be discussed.
- Stability: At least 24 months at room temperature. It is heat-stable.
- Organoleptic properties: vitamiN’ co is a fluffy powder, ocher to brownish in color, and does not clump. It smells lightly to moderately of generic biomass and has a typical umami taste. Due to its low concentrations in the end products, the powder does usually not have any influence on the organoleptic properties of those products.
- Other properties: vitamiN’ co, its intermediates, and its starting materials are not treated with ionized radiation and are free from GMO and allergens.
- Application: vitamiN’ co is allowed in organic- and vegan-certified food products, and does not contain allergens. It is suitable for a wide variety of uses in food products and supplements. We ourselves have tested it mostly in dry products; generally, we recommend testing B12 stability, especially in moist or liquid products, before market launch.
- Technical support: PANVEGA offers free consultation to food producers who wish to use vitamiN’ co in a food product for the first time: general leads on which products qualify for enrichment with the ingredient, technical advice regarding its integration in manufacturing processes, its product-specific stability, its potential interaction with the product matrix, the interpretation of analytical results, and anything else related to vitamiN’ co.
- Vorgeschlagene Bezeichnung für die Zutatenliste: Fermentierter Hefeextrakt, inaktiviert
- Die Bakterien: Die von uns für die Fermentation des Hefeextrakts verwendete Bakterien werden seit langem routinemäßig in der Lebensmittelproduktion eingesetzt. Sie werden von der EFSA als sicher für die Verwendung in Lebensmitteln eingestuft (QPS = "qualified presumption of safety" Status). Der von uns verwendete Stamm ist nicht gentechnisch verändert (GVO-frei).
- Produktion: Die aufwendige Fermentation des Hefeextrakts mit Bakterien ist frei von Tierprodukten und bekannten Allergenen und erfolgt unter optimalen Bedingungen für die Vitamin B12-Bioproduktion. Die resultierende Fermentationsbrühe wird anschließend gewaschen, konzentriert, mit Hitze inaktiviert und getrocknet.
- Konzentration: Da die B12 -Konzentrationen in den Fermentationbrühen unterschiedlich hoch ausfallen können, bieten wir Standardpulver mit BIO-Maltodextrin als Trägerstoff an, die entweder 2,5 µg oder 100 µg B12 pro Gramm Pulver enthalten. Alternative Träger oder Konzentrationen können diskutiert werden.
- Stabilität: Mindestens 24 Monate bei Raumtemperatur. Es ist hitzestabil.
- Sensorische Eigenschaften: vitamiN' co ist ein flockiges Pulver, ockerfarben bis bräunlich, und klumpt nicht. Es riecht leicht bis moderat nach generischer Biomasse und hat einen typischen Umami-Geschmack. Aufgrund seiner geringen Konzentrationen in den Endprodukten hat das Pulver in der Regel keinen Einfluss auf die sensorischen Eigenschaften dieser Produkte.
- Weitere Eigenschaften: vitamiN' co, seine Zwischenprodukte und seine Ausgangsstoffe werden nicht mit ionisierter Strahlung behandelt und sind frei von GVO und Allergenen.
- Anwendung: vitamiN' co darf in bio- und vegan zertifizierten Lebensmitteln eingesetzt werden, und enthält keine bekannten Allergene. Es ist für eine Vielzahl von Anwendungen in Lebensmitteln und Nahrungsergänzungsmitteln geeignet. Wir selbst haben es vor allem in trockenen Produkten getestet; generell empfehlen wir, die B12-Stabilität insbesondere in feuchten oder flüssigen Produkten vor der Markteinführung zu testen.
- Technische Unterstützung: PANVEGA bietet Herstellern, die vitamiN' co zum ersten Mal in einem Lebensmittelprodukt einsetzen wollen, eine kostenlose Beratung an: allgemeine Hinweise, welche Produkte für eine Anreicherung mit dem Lebensmittel-Rohstoff in Frage kommen, technische Beratung zur Integration in den Herstellungsprozess, zur produktspezifischen Stabilität, zur möglichen Interaktion mit der Produktmatrix, zur Interpretation der Analysenergebnisse und zu allem, was mit vitamiN' co zu tun hat.
FOQUS - Brainpower Drink -
another great example for a food product containing our vitamiN' co® - the natural, GMO-free source of vitamin B12.
The PANVEGA team

